In an analysis released on Monday, ASXN, an emerging crypto research firm, outlines the dynamics of global Bitcoin adoption through the lens of game theory. The report titled “The Game Theory of Bitcoin Adoption Among Nations” provides an examination of how nations can leverage mathematical game theory to strategically adopt Bitcoin.
The report follows on the heels of Donald Trump’s announcement at the Bitcoin 2024 conference that he’ll convert all BTC’s owned by the US government through enforcement actions into a “strategic Bitcoin stockpile”.
Bitcoin Game Theory Explained
The report begins by framing BTC adoption within the broader context of game theory, a discipline that evaluates the strategic decisions made by individuals or entities under conditions of uncertainty and competing interests. According to ASXN, “Game theory provides a structured framework to predict the outcomes of nation-level strategies in adopting digital currencies, taking into account not only the economic benefits and technological advancements but also the potential geopolitical shifts.”
Related Reading
According to the concept of ‘First Mover Advantage’, early adoption of BTC can position nations advantageously on several fronts. The report states, “Nations acting as first movers in the Bitcoin arena may set precedents in legal and regulatory frameworks, attract global crypto enterprises, and secure a significant share of the blockchain innovation landscape.”
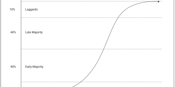
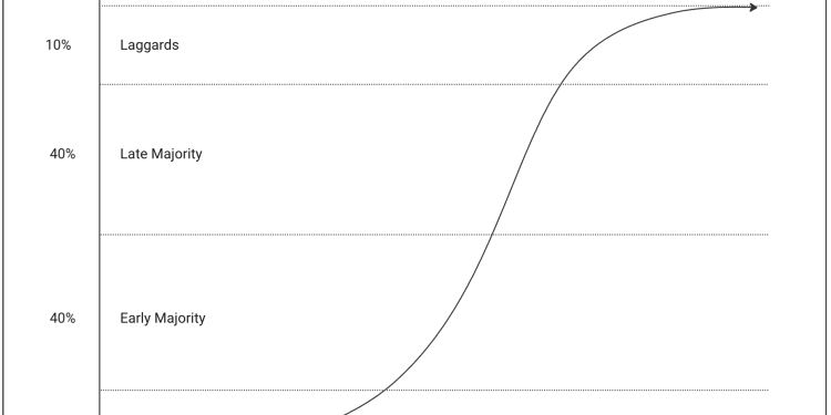
However, it contrasts these advantages with the pitfalls of premature regulatory frameworks and the volatility of Bitcoin’s market value, which could pose substantial risks to national economies. The report adds, “Once a few influential nations adopt Bitcoin, others will follow suit to avoid being left behind – creating a bandwagon effect. This effect is driven by both the returns to adoption as well as the risks of non adoption. This is when the Bitcoin adoption cycle enters the steepest part of the s-curve.”
The ‘Payoff Matrix’—a fundamental tool in game theory—is applied by ASXN to dissect the decision-making process of countries considering Bitcoin adoption for nations. ASXN elaborates on how this matrix helps countries assess the potential returns and risks associated with various strategic choices. “Each nation faces a unique matrix based on its economic structure, political climate, and market dynamics. The optimal strategy, while generally skewing towards adoption due to the projected global ascendancy of cryptocurrencies, must still be tailored to individual national circumstances,” the report elaborates.

Furthermore, the report also introduces the concept of the ‘Best Reaction Function’ in the context of Bitcoin adoption, explaining how nations develop strategies by anticipating the decisions of others. “A nation’s strategy is influenced not only by its direct gains from adopting Bitcoin but also by the expected actions of other nations, which might alter the global economic and technological landscape,” the report states.
Related Reading
The researchers add how the bandwagon effect could play out; “The logic plays out something like – Nation 1 assesses the cost benefit trade off and decides on adoption. Nation 1 realizes that all other nations are also going to choose adoption, Nation 1 concluded that, given that all nations will choose adoption, they should increase adoption speed so as not to lose competitive edge. Slowly, then all at once.”
ASXN uses several real-world applications to illustrate the theoretical concepts discussed. The case of El Salvador is examined in depth, showcasing how its early adoption has influenced other nations’ perceptions and strategies towards Bitcoin. The analysis extends to how Wisconsin’s pension fund investment in Bitcoin ETFs reflects a broader trend of sub-national entities assessing cryptocurrency as a viable component of their financial strategies, and the substantial commitment by MicroStrategy is highlighted as a corporate parallel to national strategies.
Looking forward, the report discusses the potential future trajectories of Bitcoin adoption, influenced by both technological advancements and evolving geopolitical dynamics. It specifically addresses Robert Kennedy Jr.’s proposal at Bitcoin Nashville 2024 to acquire 550 BTC daily until the US amasses 4 million BTC, which represents 19% of the total available BTC supply. This approach aims to reflect the proportion of global gold reserves that the US currently maintains in comparison to other countries.

And the Bitcoin game theory is already playing out. “Whilst the ideas Trump presented at Bitcoin Nashville may or may not happen, the simple fact he publicly acknowledged Bitcoin & it’s properties is a win & we are already seeing early signs of the effects of this,” the researchers conclude.
They refer to Johnny Ng, a member of Hong Kong’s Legislative Council, who has been advocating for the incorporation of Bitcoin into the city’s financial reserves following Trump’s announcement.
At press time, BTC traded at $66,660.

Featured image created with DALL·E, chart from TradingView.com


















